DESARROLLO DE UNA VISIÓN COMPARATIVA ENTRE LOS RESULTADOS PROVENIENTES DEL ANÁLISIS SISMORRESISTENTE CON EL USO DE ESPECTROS DE DISEÑO VENEZOLANOS Y PERUANOS. CASO: SISTEMAS DE UN GRADO DE LIBERTAD
INTRODUCCIÓN
En mi anterior publicación, se profundizó en lo poderoso que es el método de análisis espectral para el análisis sismorresistente de una edificación, utilizando como referencia un pórtico plano de un grado de libertad estático y dinámico; por lo que recomiendo consultes la referencia N°03, la cual es base para el presente trabajo. El aporte de esta publicación, radica en que estaremos haciendo un contraste entre los principales parámetros que definen los espectros de diseño venezolanos y peruanos, haciendo hincapié en la zonificación sísmica, las condiciones geotécnicas, el factor de reducción de respuesta, el nivel de importancia de la edificación que se desea proyectar y las fórmulas empleadas que permiten definir las distintas ramas de los espectro de diseño. En la imagen N°01, podemos apreciar a través de un esquema conceptual, una visualización global de lo que estaremos trabajando:
Imagen N°01: ideas generales a estudiar

Fuente: @eliaschess333, año: 2019. Nota: esquema conceptual elaborado por el autor, con ayuda de las herramientas Microsoft PowerPoint y Paint. Las imágenes resaltadas en color “verde” son capturas de pantalla del programa Microsoft Excel. La imagen resaltada en color naranja es una captura de pantalla del programa SAP2000 V.14. El mapa resaltado en color rojo, es una imagen de dominio público: https://pixabay.com/es/am%C3%A9rica-del-sur-amazonas-brasil-1804901/
También para facilitar el proceso de comparación entre los diversos casos de estudios, los cuales se especifican en el tópico concerniente a “DELIMITACIÓN DE LA TEMÁTICA A ESTUDIAR”, estaremos utilizando la herramienta computacional SAP2000 V14 en el desarrollo del análisis sismorresitente, encaminado a encontrar la respuesta estructural, representada en este trabajo por las solicitaciones internas (fuerzas cortantes y momentos flectores) y desplazamientos laterales, lo cual se hizo de forma manual en la referencia N°03, y es una práctica que en nuestra formación como ingenieros sismorresistente debemos de tener siempre presente, puesto que allí se afianzan de mejor manera conceptos de gran importancia práctica, para tener así un mejor criterio en la revisión de los resultados que nos arroja el programa Aquí surge la reflexión, de que los programas son una gran ayuda para agilizar los procesos de cálculo, no hay duda de eso, pero es nuestro criterio, el que le da utilidad a la información que ellos arrojan, y allí la importancia de tener la preparación adecuada, para estar en condiciones de poder detectar algún resultado dudoso; y parte de ese entrenamiento consiste en el desarrollo de aplicaciones sencillas, como la estudiada en la referencia N°03, y que en esta publicación se mantienen, incorporando los aspectos específicos de la misma.
OBJETIVOS
El objetivo general de este trabajo, consiste en “desarrollar una visión comparativa entre los resultados provenientes del análisis sismorresistente con el uso de espectros de diseño venezolanos y peruanos. Caso: sistemas de un grado de libertad”; y los pasos para lograr con la meta son los siguiente:
1.- Comparar los parámetros que definen los espectros de diseño venezolanos y peruanos.
2.- Comparar los resultados que se derivan del análisis sismorresistente, entre los distintos casos de estudios.
3.- Ejecutar el análisis sismorresistente para los distintos casos de estudios, con el uso de programas de cómputo.
4.- Comparar los resultados obtenidos entre los distintos casos de estudios.
DELIMITACIÓN DE LA TEMÁTICA A ESTUDIAR
Es importante resaltar en cuanto al objetivo específico N°01, que los espectros de diseño venezolanos y peruanos, se definirán en conformidad a las normativas sismorresistentes COVENIN 1756-1:2001 y E.030:2016 respectivamente; y la comparación de los parámetros que permiten el surgimiento de ambos espectros (objetivo específico N°02), será complementada con el desarrollo de una hoja de cálculo, que elaboré particularizada a los casos de estudios, y que estaré explicando por medio de un de un recurso audio-visual.
En cuanto a la ejecución del análisis sismorresistente (objetivo específico N°03), estaremos utilizando la herramienta computacional SAP2000 V.14; para mantener la secuencia con la referencia N°00, vamos a utilizar las mismas propiedades intrínsecas de la estructura, en cuanto a masa (m), rigidez (k) y amortiguamiento (c), que condicionan entre otras cosas el período natural “Tn” de la misma. Adicionalmente la estructura a modelar está representada por un grado de libertad estático y dinámico, para lograr esta condición en el programa SAP-2000, se definen las siguientes condiciones.
Imagen N°02: idealizando en el SAP2000 V.14 la condición de un grado de libertad

Fuente: @eliaschess333, año: 2019. Nota: esquema conceptual elaborado por el autor, con ayuda de las herramientas Microsoft PowerPoint y Paint. Las imágenes resaltadas en color “rojo” son capturas de pantalla del programa SAP2000 V.14.
Basados en lo que se aprecia en la imagen N°02, se tiene que los elementos representativos de la masa “elemento horizontal, vigas” tienen una inercia infinita y un área infinita, mientras que los elementos encargados de aportar la rigidez “elemento vertical, columna”, presentan sólo área infinita. Estas condiciones permiten idealizar la estructura con un grado de liberta estático y un grado de libertad dinámico; al respecto te invito a que consultes la referencia N°04, para que profundices en estos conceptos básicos de la dinámica estructural.
@eliaschess333 ¿por qué colocar “1000000”? se me hace un número muy grande para lo que son las dimensiones de los elementos estructurales
En efecto, definimos con toda la intención un número muy grande con la idea de ordenarle al programa que en su procesamiento de análisis, considere el área e inercia infinita en el elemento estructural que se analiza (viga o columna); en ese sentido las dimensiones de los elementos estructurales no se alteran para nada, por ende el período natural de la estructura es el mismo al analizado en la referencia N°03.
En el caso de las columnas (ver imagen N°02), se resalta con un ovalo de color “rojo”, el valor de “1” definido en las condiciones asociadas al momento de inercia, lo que se asocia a “I=Io”, es decir, el elemento estructural puede experimentar deformaciones transversales, pero no alargamiento ni acortamientos, porque su área se idealiza como infinita “A= ∞” de allí a que colocamos un número muy grande
@eliaschess333 y si quiero colocar un número más grande que 1000000 ¿lo puedo hacer?
Si se puede hacer, la idea es colocar una cifra exageradamente grande, para que el programa comprenda que se trata de un área o inercia infinita. En la imagen N°00, se especifican las características que permiten definir en el programa SAP2000 V.14 las condiciones de masa y rigidez:
Imagen N°03: definiendo las condiciones de masa “m” y rigidez “k”

Fuente: @eliaschess333, año: 2019. Nota: esquema conceptual elaborado por el autor, con ayuda de las herramientas Microsoft PowerPoint y Paint. Las imágenes resaltadas en color “rojo” son capturas de pantalla del programa SAP2000 V.14.
En el siguiente recurso audiovisual, se especifican una serie de condiciones adicionales, esenciales en la inclusión del modelo en la herramienta computacional SAP2000 V.14, al mismo tiempo que se afianzan las ideas expuestas en párrafos anteriores, en lo concerniente a la definición del modelo estructural.
Video N°01: definiendo el modelo estructural a analizar
Fuente: @eliaschess333, año: 2019. Nota: video elaborado por el autor con ayuda de las herramientas computacionales Camtasia Studio 8, Adobe Audition 3.0. Los esquemas conceptuales que se presentan fueron elaborados por el autor con las herramientas Microsoft PowerPoint y Paint.
Es importante resaltar que trabajaremos con dos casos de estudios, en los que el sistema estructural, será analizado con base a un espectro de diseño venezolano (caso de estudio N°01) y un espectro de diseño peruano (caso de estudio N°02), para finalmente realizar una comparación de los resultados obtenidos.
CONTRASTE ENTRE EL PROYECTO DE NORMA DE PERÚ E.030:2016 DISEÑO SISMORRESISTENTE Y LA NORMA VENEZOLANA COVENIN 1756-1:2001 EDIFICACIONES SISMORRESISTENTES
Ambas normas son sumamente extensas en variedad de contenidos asociados al análisis sismorresistente, es por ello que centraré la atención en los aspectos de mayor relevancia que inciden en la definición del espectro, entre estos destacan.
A) Zonificación
En el abordaje de este tópico, me ayudó mucho la consulta de la referencia N°05, elaborada por mi amigo @iamphysical, dado que allí obtuve un dato valioso para encontrar información multimedia de dominio público, y así poder hacer más didáctico la explicación de este tópico, donde el uso de un mapa lo considero trascendental; de esta manera desde el portal del Servicio Geológico de los Estados Unidos (USGS), he preparado el siguiente recurso audio-visual, disfrútenlo:
Video N°02: análisis de la zonificación desde un punto de vista macro
Fuente: @eliaschess333, año: 2019. Nota: video elaborado por el autor con ayuda de las herramientas computacionales Camtasia Studio 8, Adobe Audition 3.0. Los esquemas conceptuales que se presentan fueron elaborados por el autor con las herramientas Microsoft PowerPoint y Paint.
Una vez afianzadas las ideas entre las distintas partes del mundo en las que se centraremos la atención “VENEZUELA Y PERÚ”, y que definen al mismo tiempo los dos casos de estudios, pasemos a revisar lo que nos dicen las normas al respecto. En el caso de la norma E.030:2016, para cada zona se define un factor zona “Z”, el cual para la zona de interés “zona de mayor amenaza” es de 0.45, y según dicha normativa:
El factor “Z” se interpreta como la aceleración máxima horizontal en suelo rígido con una probabilidad de 10% de ser excedida en 50 años. El factor Z se expresa como una fracción de la aceleración de la gravedad.
Por su parte la norma venezolana COVENIN 1756-1:2001, se refiere es a un coeficiente de aceleración horizontal “Ao” el cual para la zona de interés corresponde a “0.40”, y en términos probabilístico tiene el mismo significado que el factor Z.
¿Significa que la estadística juega un papel importante en estos temas @eliaschess333?
Claro, dado que los sismos involucran mucha incertidumbre en cuanto a su ocurrencia, y es allí donde entra en juego el tema de probabilidades, de allí que las aplicaciones de la estadística en este campo son muchas, y sobre las cuales estaré trabajando en futuras publicaciones.
B) Condiciones Geotécnicas
Tanto la norma E.030:2016 y la COVENIN 1756-1:2001, definen los perfiles de terreno, desde los más duros o densos, donde entran en juego ciertas rocas sanas o fracturadas, hasta suelos muy blandos o sueltos, los cuales evidentemente constituyen los casos más desfavorables, y en la medida de lo posible no se recomienda fundar en este tipo de suelos. En una próxima publicación estaré abordando estos temas, donde confluyen la ingeniería sismorresistente y la ingeniería geotécnica. En este orden de ideas, y en aras de desarrollar el contraste entre ambas normativas, hay que resaltar que una vez definido el tipo de suelo, cada norma tiene un estilo particular para el tratamiento de dicha información, encaminada a definir parámetros claves en la definición del espectro de diseño. En el esquema conceptual de la siguiente imagen se realiza el siguiente contraste:
Imagen N°04: contraste de los parámetros que se derivan del establecimiento de las condiciones geotécnicas

Fuente: @eliaschess333, año: 2019. Nota: esquema conceptual elaborado por el autor, con ayuda de las herramientas Microsoft PowerPoint y Paint. Las imágenes resaltadas en color “rojo” y “azul” son de dominio público, adjunto los links para su visualización: https://pixabay.com/es/arroyo-r%C3%ADo-naturaleza-paisaje-593146/; https://pixabay.com/es/desierto-la-sequ%C3%ADa-componer-279862/
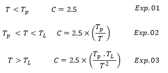
Resulta de especial interés, como el tema de la amplificación sísmica en la COVENIN 1756-1:2001 queda especificado por el factor “β”; por su parte en la E.030:2016, se utilizan como referencia los valores de periodos “Tl” y “Tp”, para así dar con el factor “C”, el cuál se interpreta como el factor de la aceleración estructural respecto a la aceleración del suelo, y está definido en base a las siguientes expresiones:
C) Factor de Reducción de Respuesta “R”
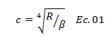
En torno a este factor, he realizado un estudio a profundidad en publicaciones anteriores (ref. 03 y ref.07). Por lo que ahora concierne, se tiene que en la norma COVENIN 1756-1:2001, el valor de “R” ronda de “1” a “6”, en su definición incide el tipo de sistema estructural resistente a sismos, así como el nivel de diseño y en base a su definición es posible determinar el período “T+” que representa el período característico de variación de la respuesta dúctil en segundos, tomando como referencia las siguientes expresiones:
También con la definición de “R” y el uso del factor de magnificación promedio “β”, se puede determinar un factor que expresa la adhesión entre el terreno y la fundación, por medio de la siguiente ecuación:
El caso de la norma E.030:2016, esta define en primera instancia un coeficiente básico de reducción “Ro”, que ronda de “1” a “8”, dependiendo el material y el sistema estructural que se elija. La norma en cuestión toma en cuenta la influencia de las irregularidades de la estructura, teniendo como máxima, que su existencia disminuye el comportamiento dúctil de la misma, y por consiguiente plantea la siguiente ecuación que disminuye el valor de “Ro”:
Donde “Ia” representa la irregularidad en altura, e “Ip” la irregularidad en planta, y sus valores en el caso de existir tales irregularidades son menores a la unidad; caso contrario se consideran como uno, y el “Ro” coincide con el “R”, el cuál en la norma adquiere la denominación de coeficiente de reducción de respuesta sísmica; y estas últimas líneas coinciden con el caso en estudio, dado que para fines didácticos el pórtico plano de un grado de libertad estático y grado de libertad dinámico se considera sin ningún tipo de irregularidades.
D) Uso de la Edificación
El uso de la edificación, tanto para la norma E.030:2016 y la COVENIN 1756-1:2001, coincide en la misma filosofía, en cuanto a los niveles de importancia, basándose en la cantidad de personas que albergan las edificaciones, y las pérdidas económicas que se incurrirían en el caso de su colapso. En la COVENIN 1756-1:2001, la edificaciones más importantes se encuentran en el grupo “A”, al igual que en la E.030:2016, la cual las define como “edificaciones esenciales”, estableciendo los sub-grupos “A1” y “A2”. Definiéndose al mismo tiempo un factor de importancia “α” y un factor de uso “U” respectivamente, el cuál entra en juego en las distintas expresiones para definir los espectros de diseño en cada una de las normas.
COMPARACIÓN DE LAS RELACIONES EMPLEADAS PARA DEFINIR LOS ESPECTROS DE DISEÑO EN BASE A LOS PARÁMETROS DEFINIDOS SEGÚN E.030:2019 Y COVENIN 1756-1:2001
Esta comparación la desarrollaremos por medio del siguiente recurso audio-visual donde se muestra el proceso de elaboración de una hoja de cálculo, que reúne cada una de las especificaciones establecidas, a lo largo de esta serie de comparaciones de donde se derivan los espectros de diseño venezolanos y peruanos, para atender los dos casos de estudios del presente artículo, y por ende comprender las relaciones empleadas para tal fin.
Video N°03: explicación de la hoja de cálculo para definir los espectros de diseño
Fuente: @eliaschess333, año: 2019. Nota: video elaborado por el autor con ayuda de las herramientas computacionales Camtasia Studio 8, Adobe Audition 3.0. Los esquemas conceptuales que se presentan fueron elaborados por el autor con las herramientas Microsoft PowerPoint y Paint.
DEFINICIÓN DE LA CONDICIÓN SÍSMICA EN EL PROGRAMA SAP2000 V.14, A TRAVÉS DE LA INCORPORACIÓN DE LOS ESPECTROS DE DISEÑO. EJECUCIÓN DEL ANÁLISIS DE LA ESTRUCTURA
Por medio del siguiente recurso audio visual, se explica la forma como se incluye la condición sísmica en el programa SAP-2000 V.14, en conjunto con el procesamiento de la información por el programa en cuestión para encontrar las solicitaciones internas a las que están sometidas los elementos estructurales (vigas y columnas). Disfruten del siguiente recurso audio visual:
Video N°04: incorporación de espectros de diseño y definición de aspectos previos a la ejecución del análisis
Fuente: @eliaschess333, año: 2019. Nota: video elaborado por el autor con ayuda de las herramientas computacionales Camtasia Studio 8, Adobe Audition 3.0. Los esquemas conceptuales que se presentan fueron elaborados por el autor con las herramientas Microsoft PowerPoint y Paint
COMPARACIÓN DE LOS RESULTADOS OBTENIDOS
En el siguiente esquema conceptual se presenta la comparación de resultados, provenientes del análisis espectral realizado en la herramienta computacional SAP2000 V.14
Imagen N°05: comparación de resultados provenientes del análisis espectral en SAP.2000 V.14

Fuente: @eliaschess333, año: 2019. Nota: esquema conceptual elaborado por el autor, con ayuda de las herramientas Microsoft PowerPoint y Paint. El mapa resaltado en color rojo, es una imagen de dominio público: https://pixabay.com/es/am%C3%A9rica-del-sur-amazonas-brasil-1804901/
Se aprecia una gran diferencia entre los resultados obtenidos, las solicitaciones internas con el espectro de diseño peruano, según la norma E.030:2016, exceden en una proporción de más de diez veces, a las obtenidas por el espectro de diseño venezolano según COVENIN 1756-1:2001. En el caso de los desplazamientos laterales ocurre lo mismo. Vale destacar que como estamos trabajando con espectro de diseño reducidos (afectados por el factor de reducción de respuesta), los desplazamientos laterales que nos presenta el programa son a nivel de cedencia “uy”:
Imagen N°05: comparación de los desplazamientos laterales

Fuente: Fuente: @eliaschess333, año: 2019. Nota: esquema conceptual elaborado por el autor, con ayuda de las herramientas Microsoft PowerPoint y Paint. Las imágenes resaltada en color rojo es una captura de pantalla del programa SAP2000 V.14.
Una diferencia realmente grande, entre los desplazamientos cedentes, lo que lleva a deducir el nivel de exigencia en cuanto a desempeño sísmico al que están sometidas las edificaciones Perú, es mucho más grande que el de Venezuela, lo cual tiene mucho sentido, puesto que Perú se encuentra en pleno cinturón de fuego del pacífico, con la interacción por subducción con la placa de nazca y la placa suramericana. Por su parte Venezuela, está en una zona más tranquila, en cuanto a sismicidad se refiere, representada por la interacción de la placa suramericana y la placa caribeña. No obstante, esta diferencia tan abismal de resultados, lleva a pensar en lo necesario que es la actualización de nuestra norma venezolana, la cual esperemos pronto se dé.
Conviene acotar, que en esta comparación de resultados presentados, ambas estructuras tienen las mismas características, lo que difiere es el espectro de diseño, no obstante este fue definido en condiciones de máxima exigencia para ambos casos, es decir, suponiendo una edificación de mayor importancia, ubicada en la zona de mayor amenaza sísmica para el país en particular que se analice.
CONCLUSIONES
1.- Los valores de aceleración espectral para el caso del espectro de diseño según E.030:2016, superan grandemente a los que constituyen el espectro de diseño según COVENIN 1756-1:2001.
2.- Dada la consideración anterior, la respuesta estructural en términos de fuerza y desplazamiento, desde un punto de vista macro es notoriamente influenciada por el país donde se proyecte la estructura. En el caso de Perú, el espectro de diseño es mucho más exigente que el espectro de diseño Venezolano, lo que implica mayores valores en la respuesta ( ver imagen N°04).
3.- Los ejemplos realizados son netamente con fines académicos, y constituyen ejemplos sencillos para afianzar conceptos de importancia. Es evidente que una estructura real presenta más planos resistentes, y allí es muy probable que los desplazamientos laterales disminuyan.
Espero el post haya sido de su agrado. Escribió para ustedes:
REFERENCIAS CONSULTADAS
1.- NORMA E.030:2016. DISEÑO SISMORRESISTENTE. LIMA-PERÚ
2.- NORMA VENEZOLANA. EDIFICACIONES SISMORESISTENTES. PARTE 1: REQUISITOS. 1ERA REVISIÓN. COVENIN 1756-1:2001
LECTURAS RECOMENDADAS
3.- @eliaschess333. DESARROLLO DE UNA VISIÓN COMPARATIVA ENTRE LOS MÉTODOS DE ANÁLISIS ESPECTRAL Y DE RESPUESTA SÍSMICA EN EL TIEMPO PARA UN SISTEMA ESTRUCTURAL QUE INCURSIONA EN EL RANGO INELÁSTICO. Disponible en: https://steemit.com/stem-espanol/@eliaschess333/desarrollo-de-una-vision-comparativa-entre-los-metodos-de-analisis-espectral-y-de-respuesta-sismica-en-el-tiempo-para-un-sistema
4.- @eliaschess333. COMPRENDIENDO LAS APLICACIONES DE LAS MATEMÁTICAS EN LA ESTIMACIÓN DEL PERIODO Y FRECUENCIA NATURAL DE UN PÓRTICO PLANO. CASO: SISTEMA DE UN GRADO DE LIBERTAD. Disponible en: https://steemit.com/stem-espanol/@eliaschess333/comprendiendo-las-aplicaciones-de-las-matematicas-en-la-estimacion-del-periodo-y-frecuencia-natural-de-un-portico-plano-caso
5.- @iamphysical. LOS TERREMOTOS Y SUS RÉPLICAS A 180º. Disponible en: https://steemit.com/stem-espanol/@iamphysical/los-terremotos-y-sus-replicas-a-180o
6.- @eliaschess333. ESTUDIO DE LA INFLUENCIA DEL PERÍODO NATURAL DE UNA ESTRUCTURA Y DEL FACTOR DE REDUCCIÓN DE RESPUESTA CEDENTE EN LOS NIVELES DE DUCTILIDAD QUE ESTA DESARROLLA A TRAVÉS DE ESPECTROS DE RESPUESTAS INELÁSTICOS. Disponible en: https://steemit.com/stem-espanol/@eliaschess333/estudio-de-la-influencia-del-periodo-natural-de-una-estructura-y-del-factor-de-reduccion-de-respuesta-cedente-en-los-niveles-de




This post has been voted on by the SteemSTEM curation team and voting trail in collaboration with @utopian-io and @curie.
If you appreciate the work we are doing then consider voting all three projects for witness by selecting stem.witness, utopian-io and curie!
For additional information please join us on the SteemSTEM discord and to get to know the rest of the community!
Thanks for the support @steemstem!
Congratulations @eliaschess333!
You raised your level and are now a Minnow!
Saludos estimado @eliaschess333, que buena publicación, muy académica e interesante sobre la diferencia que realiza sobre la proyección de estructuras entre Perú y Venezuela. Éxitos....
Hi @eliaschess333!
Your post was upvoted by Utopian.io in cooperation with @steemstem - supporting knowledge, innovation and technological advancement on the Steem Blockchain.
Contribute to Open Source with utopian.io
Learn how to contribute on our website and join the new open source economy.
Want to chat? Join the Utopian Community on Discord https://discord.gg/h52nFrV
Thanks for the support @utopian-io!
Felicidades @EliasChess333. Muy buen post, como siempre!
Saludos @eliaschess333, muy completa tu publicación. Cuando te refieres a que hay que actualizar las normas venezolanas en cuanto a análisis espectral y resistencia sísmica, es porque has observado riesgos mayores a los esperados, o es simplemente porque siempre es necesario revisar parámetros tan importantes? Por otro lado, siempre he escuchado que no se pueden predecir los sismos ¿esa afirmación sigue vigente?
En cuanto al tema de predicción de sismos, se habla de probabilidades de ocurrencia, basados entre oras cosas, en el tiempo que las placas tectónicas llevan acumulando energía potencial de deformación. Por ejemplo en Caracas, no ocurre un evento de elevada magnitud desde el año de 1967, allí hay una gran energía acumulada, el silencio sísmico preocupa.
Saludos compañera @elvigia, gracias por tu aporte!!!