El Fenómeno del Efecto Doppler

Fuente de imagen de dominio público de pixabay
A conocer más sobre los fenómenos que ocurren en el sol tales como, la velocidad de radiación de energía por el sol implica la desaparición de determinada masa solar a una velocidad de 4,2 millones de toneladas por segundo. A primera vista, esto parece una pérdida formidable; pero la masa total del Sol es de 2.200.000.000.000.000.000.000.000.000 toneladas, de tal modo que nuestro astro pierde, por segundo, sólo 0,00000000000000000002 % de su masa.
Tenemos el “Efecto Doppler” como un fenómeno que los astrónomos habían estudiado durante mucho tiempo, los espectros de las estrellas y estaban muy familiarizados con la imagen normal, secuencia de líneas brillantes sobre un fondo oscuro o de líneas negras sobre un fondo brillante, que revelaba la emisión o la absorción de luz por los átomos a ciertas longitudes de ondas o colores. Lograron calcular la velocidad de las estrellas que se acercaban o se alejaban de nosotros es decir, la velocidad radial, al determinar el desplazamiento de las líneas espectrales usuales hacia el extremo violeta o rojo del espectro.

Fuente de imagen de dominio de Wikimedia Commons Author: Georg Wiora (Dr. Schorsch)Deslizamiento al rojo de las líneas espectrales en el espectro óptico de un supercúmulo de galaxias lejanas (mano derecha), comparado con el del Sol (zurdo)
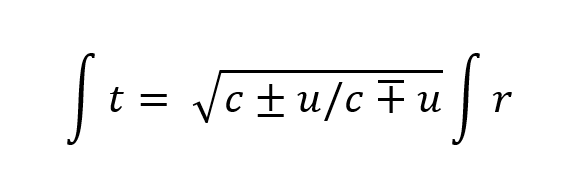
La teoría de la relatividad de Einstein, el movimiento absoluto no puede detectarse y todos los observadores miden la misma velocidad C para la luz independiente de su movimiento respecto al foco. Así, la ecuación 15.35, nos es válida para el desplazamiento Doppler aplicado a la luz, al calcular el efecto Doppler relativista debemos introducir dos modificaciones, en primer lugar, la velocidad de las ondas que se cruzan con un receptor es siempre C, independientemente del estado de movimiento del receptor, en segundo lugar, el intervalo de tiempo entre la emisión de dos ondas sucesiva, que es Tf=l / ʃ en el sistema de referencia de la fuente, es distinto en el sistema de referencia del receptor cuando estos se encuentran en movimiento relativo debido a la dilatación relativista del tiempo y la contracción relativista de la longitud.
Los signos se eligen de modo que nos dan un desplazamiento hacia una frecuencia mayor cuando el foco y el receptor se aproximen, y los signos inferiores se usan en el análogamente, cuando:
u<<c, ʃ/ʃ0≈1±u/c.
Cita textual. Física para la ciencia y la tecnología, Volumen 1 por Paul Allen Tipler, Gene Mosca: pág.: 455.
También tenemos el aporte del físico francés Armand-Hippolyte-Louis Fizeau fue quien, en 1848, señaló que el efecto Doppler en la luz podía observarse mejor anotando la posición de las líneas espectrales. Por esta razón, el efecto Doppler se denomina “efecto Doppler-Fizeau” cuando se aplica a la luz. Se ha empleado con distintas finalidades. En nuestro sistema Solar se ha utilizado para demostrar de una nueva forma la rotación del Sol.
Algo muy curioso como fenómeno es el movimiento de las manchas del sol permite detectar y medir la rotación solar de forma más adecuada en donde dicha rotación, que tiene un período aproximado de 25 días con relación a las estrellas). Este efecto puede usarse también para determinar la rotación de objetos sin caracteres llamativos, tales como los anillos de Saturno, esta teoría también fundamentada por el investigador físico Armand-Hippolyte-Louis Fizeau.

Figura 1. El desplazamiento Doppler, la velocidad de las ondas que se cruzan con un receptor y la dilatación relativista del tiempo. (IMAGEN ELABORADA POR @coolxxx.)
Cuando hay movimiento relativo entre una fuente con dependencia armónica con el tiempo y un receptor, la frecuencia de la onda detectada por el receptor tiende a ser diferentes de la que emite la fuente. Este fenómeno se conoce efecto Doppler.
El efecto Doppler se manifiesta en la acústica y en el electromagnetismo. Es probable que usted haya experimentado los cambios en frecuencia del silbato de una locomotora que se mueve a gran velocidad.
Cita textual Fundamentos de electromagnetismo para ingeniería por David K. Cheng pág.:279.

Figura 2. Considerando T de una onda con dependencia armónica con el tiempo de frecuencia, se mueve con velocidad en u en dirección que forman onda, en donde el campo E y H de una onda plana uniforme en t = 0. (IMAGEN ELABORADA POR @coolxxx.)
Para conocer más técnicamente a nivel científico debemos saber lo siguiente, se denomina espectro visible o espectro lumínico al conjunto de fotones dividido por difracción en diversas franjas de colores desde el violeta al rojo (en luz visible) que se observa a partir de la luz blanca cuando la misma atraviesa un prisma óptico.
Representado a nivel de la física con la siguiente ecuación:
∆ʃ = (2∆ⱴ/c) ʃ0
Los estudios de estos fenómenos denominados espectros, es se comenzaron a observar ondas luminosas con una velocidad proporcionalmente a la velocidad como longitud de esta onda definida con respecto con el observador, con el tiempo se comprobó de esta ondas también tenían relación con ondas sonoras, que tenían efecto sobre campos magnéticos creando ondas magnéticas. También se observaron la diferencia de luminosidad entre las dos estrella donde el espectro aparecen las rayas correspondientes a ambas estrellas, por tanto cuando la de una de los componentes se desvían hacia el rojo, la otra luz es violeta, otro ejemplo sobre este fenómenos tenemos que existen en la constelación de Perseo una estrella, emite campo electromagnético luminosos.
En donde se representó con la siguiente ecuación, la velocidad del receptor respecto a la fuente, es positiva cuando el receptor y la fuente se van acercando.
∆f = f – f0
∆v = vr – vs
En donde se pude decir que la velocidad de la onda permanece constante, mientras que se producen cambios en la longitud de onda; y por lo tanto, la frecuencia cambia también. Por eso las estrellas no son homogéneas, debido a la velocidad de radiales entre la que están ubicada más cerca de la tierra son 308km/s, ya identificada como LHS52, con una distancia 81.7 años luz, también tenemos la LHS 64, con 78.2 años luz, lo importante que se debe saber que la velocidades cuando es positiva quiere decir, están alejada del sol y si fuera negativo lo contrario.
La mayoría que uno se pregunta de esto fenómenos de espectros porque tiene esa singularidad de manifestarse, la explicación física en manera de absorción es que los átomos pueden no solo emitir luz sino que también pueden absorberla, de tal manera que pueden pasar una luz blanca a través un gas frió antes de dispersarla por un prisma, cuando este gas baja su nivel de temperatura, baja la presión sobre la luz, unas de la propiedades más fundamentales de estos espectros de línea de absorción es que sus líneas aparecen en el mismo lugar que las líneas de emisión, haciendo posible que dicho gas absorba radiaciones.
Aporte del efecto Doppler a la ciencia y nuestra vida de conocimiento.
Es muy fascinante como el cosmos y el universo, mediante la observación, recolección de datos y aplicación de las ciencias se fundamentaron muchas teorías, gracias a la dedicación de mucho científico a través de la historia, más a allá de la Astronomía, este efecto es aplicado en otras disciplinas, como es el caso de la medicina utilizan el Modo doppler continuo (CW) y el Modo Pulsado (PW), en sus formas de doppler espectral, color y Power Angio; de tal modo que se utiliza para evaluar el flujo sanguíneo por medio de la medición del movimiento de los glóbulos rojos, permitiendo obtener información respecto a la permeabilidad vascular, el sentido del flujo, presencia de estenosis, resistencia vascular distal y vascularización de las lesiones.
En campo de la física también lo aplica en el estudio de la acústica, en cambio de frecuencia de onda es presentado por una fuente de sonido con respecto a su observador cuando esa misma fuente se encuentra en movimiento.
En el campo matemático el espectro se puede connotar en el conjuntos de valores de λ para cual el operador (To - λ Î) -1 sin inversa continua.
Bibliografía consultada.
Alec Eden (1992). Springer-Verlag, ed. The search for Christian Doppler. Viena
Nicolas Witkowski, "Un tren para Christian Doppler", en "Una historia sentimental de las ciencias", págs. 191-195, Siglo Veintiuno Editores, Buenos Aires, (2001).
Rosen, Joe; Gothard, Lisa Quinn, (2009).
Evans, D. H.; McDicken, W. N. (2000). Doppler Ultrasound (2nd edición). New York: John Wiley and Sons.
Encyclopedia of Physical Science por Joe Rosen, Lisa Quinn Gothard Facts On File, Incorporated, 2009 - 767 pages
Física - Página 711 Raymond A. Serway, Jerry S. Faughn - (2001).
Fundamentos de electromagnetismo para ingeniería - Página 279 David K. Cheng - (1998).
Física: principios con aplicaciones - Página 341 - (2006).
Física para la ciencia y la tecnología - Volumen1 - Página 455 Paul Allen Tipler, Gene Mosca - (2005).


@coolxxx, I gave you a vote!
If you follow me, I will also follow you in return!
Thanks for the support
Very Cool! Happy Sunday!
Posted using Partiko Android
Thanks !
Zarpado post loco!
Gracias por el comentario
De nada, perdón que haya sido tan corto y no comentando nada del post, es que estoy cansado del domingo y no lo leí entero, pero habla de un tema que me interesa y además se ve que le pusiste muchas horas para hacerl "Un post muy zarpado" xD
Tranquilo te entiendo todo esfuerzo en conocimiento tiene su recompensa a ser compartido, para dar mas ideas, y como amante de la física tema como este es bueno darlo a conocer, nuevamente gracias @gasparcha, nos estamos siguiendo
Te recomendé en @Cervantes, espero que te voten :p
Gracias @gasparcha por el apoyo y que te guste mi contenido saludos
Congratulations @coolxxx! You have completed the following achievement on the Steem blockchain and have been rewarded with new badge(s) :
Click on the badge to view your Board of Honor.
If you no longer want to receive notifications, reply to this comment with the word
STOPThanks !
Tu entrada ha sido votada por el trail @Faircrew. Para más información, os invito a formar parte de nuestro servidor de Discord.
Gracias por su apoyo y que les gustara mi post