Habilidades Matemáticas, Lección 02 - GMath

Acá les dejo una nueva publicación con algunos problemas de desarrollo de habilidades matemáticas, donde se pone a prueba las nociones básicas de álgebra y aritmética. Les dejo una entrega de 2 ejercicios con sus respuestas y sugerencias de solución Al final les dejo un ejercicio para su consideración, espero sus comentarios con la respuesta del mismo. Estos problemas están dirigidos a el público en general, pero principalmente a estudiantes de educación media y diversificada.

Problema 01: En un campeonato de fútbol se inscribieron 10 equipos. Si cada equipo debe jugar una sola vez con cada uno de los equipos restantes, ¿cuántos partidos tiene el campeonato?
| A. 9 | B. 19 | C. 20 | D. 35 | E. 45 |
|---|
Solución:
Para encontrar la solución a este problema, primero lo haremos de manera inductiva, estudiando el caso donde hay 2 equipos inscritos en el campeonato, después estudiaremos el caso donde hay 3 equipos y así sucesivamente, tratando de ir descubriendo cierta ley que nos permita resolver el problema para el caso de varios equipos inscritos en el campeonato.
Por otro lado, es siempre aconsejable tratar de hacer un dibujo del enunciado del problema, cuando sea posible, pues entonces será más fácil visualizar la solución que es la que debemos tratar de buscar. Para el logro de este fin, en el caso de este problema, vamos a representar los equipos por puntos en el plano y vamos a representar los partidos jugados por trazos que unen los respectivos puntos. El número de partidos del campeonato será entonces el número de todos los trazos posibles que se pueden conectar entre los diversos puntos. Por ejemplo, supongamos que hay solo 2 equipos inscritos. Entonces la imagen anexa correspondiente esta en la parte de la izquierda, donde descubrimos que hay un solo partido (ya que hay un solo trazo posible). Pero si los equipos son 3, entonces, de acuerdo con la imagen anexa en la parte derecha, hay 3 partidos jugados.

Imagen creada con Karbon, Inkscape y GIMP, son software libre. Elaborado por @abdulmath.
Los siguientes gráficos representan respectivamente, a la izquierda el caso de 4 equipos inscritos, y de a la derecha el caso de 5 equipos inscritos.

Imagen creada con Karbon, Inkscape y GIMP, son software libre. Elaborado por @abdulmath.
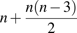
En el caso de 4 equipos, la figura es un cuadrilátero (polígono de 4 lados) y el número de partidos jugados corresponde al número de lados del cuadrilátero (4), más el número de sus diagonales (2); es decir, con 4 equipos hay 6 partidos.
En el caso de 5 equipos, la figura es un pentágono (polígono de 5 lados) y el número de partidos jugados corresponde al número de lados del pentágono (5), más el número de sus diagonales (5); es decir, con 5 equipos hay 10 partidos.
Recordemos ahora, que un polígono de n lados, tiene n(n-3)/2 diagonales.
Por ejemplo, con esta fórmula se puede ver que para un triángulo, n=3 y n(n-3)/2=0 ya que un triángulo no tiene diagonales. Para un cuadrilátero, n=4 y n(n-3)/2=2 lo que concuerda con las diagonales de un cuadrilátero que son 2. Para un pentágono, n=5 y n(n-3)/2=5, así verificamos que un pentágono tiene 5 diagonales.
Por lo dicho anteriormente, debemos ahora darnos cuenta que si hay n equipos, entonces, el número de partidos es:

Ecuación creada con LaTeX2e y editada con GIMP, son software libre. Elaborado por @abdulmath.
En el caso de nuestro problema, hay n=10 equipos, entonces el número de partidos es

Ecuación creada con LaTeX2e y editada con GIMP, son software libre. Elaborado por @abdulmath.
La respuesta correcta es E.
El lector haría bien en responder a la siguiente pregunta:
¿cuántos partidos tiene el campeonato si se inscriben 20 equipos?

Problema 02: El promedio aritmético entre 3 números es 14. ¿Cuál debe ser el cuarto número para que el nuevo promedio sea 16?
| A. 16 | B. 17 | C. 18 | D. 20 | E. 22 |
|---|
Solución:
Recordemos primero que el promedio, también llamado promedio aritmético o media aritmética, entre n números es la suma de estos n números dividida entre n. Por ejemplo, el promedio entre 4 y 6 es (4+6)/2=5, el promedio entre 8, 1, 6 es (8+1+6)/3=5, mientras que el promedio entre 18, 20, 14, 10 es (18+20+14+10)/4=62/4=15,5.
Una vez aclarado los conceptos envueltos en el enunciado del problema, procedemos a tratar de resolverlo.
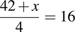
Como el promedio entre 3 números es 14, entonces la suma de estos 3 números, dividida entre 3, es igual a 14. Luego, la suma de los 3 números es 14*3 =42.
Sea, ahora, x el cuarto número. El promedio de los cuatro números del enunciado es la suma de los tres primeros que es 42, más x, y toda esta suma dividida entre 4.
Así, el mencionado promedio es (42+x)4. Este promedio es, según el enunciado, igual a 16. En consecuencia, tenemos la siguiente ecuación:

Ecuación creada con LaTeX2e y editada con GIMP, son software libre. Elaborado por @abdulmath.
Para despejar x en esta ecuación, se multiplica cada uno de sus 2 miembros por 4, obteniéndose:

Ecuación creada con LaTeX2e y editada con GIMP, son software libre. Elaborado por @abdulmath.
Para despejar x en esta última ecuación, se resta 42 a cada miembro, obteniéndose:

Ecuación creada con LaTeX2e y editada con GIMP, son software libre. Elaborado por @abdulmath.
Luego, la respuesta correcta es E.
Buenos steemados amigos, espero hayan disfrutado esta publicación, los espero en la próxima entrega dentro de dos días. No olviden dejar sus comentarios con la solución del problema que les deje. Saludos y nos leemos pronto.

Imagen elaborada por @abdulmath, diseñadas y editada con Karbon, Inkscape y GIMP, son software libre.

Hola @abdulmath muy buen aporte, felicitaciones y gracias por compartir.
Buena vibra.
Gracias, tratando siempre de dar un granito más de arena. Saludos y un beso
Aplaudo la formalidad y seriedad de tus publicaciones y sobre todo el aporte didáctico para quienes les gustan las ciencias básicas!! Saludos!!!
Gracias Adriana por tus comentarios. Saludos
Saludos Abdul, muy buen post
Gracias Gaby, saludos.
Excelente aporte hermano
Gracias por tus comentarios, saludos
Definitivamente tremendo aporte para el estudio de la matemática
Muy agradecido por tu valoración. Saludos y un abrazo.