Knock, Knock, Ginger
It's become a familiar story lately... a quiet weekday afternoon, quietly working from home. A bit of Justin Bieber playing in the background to keep things ticking along, foot tapping, singing...
My mama don't like you and she likes everyone
And I never like to admit that I was wrong...
...and then the door bell rings, twice. It must be important for them to ring it twice. You try to jump up quickly but before you so much as take your hand off the mouse, there it is. The familiar sounds of a battering ram desperately trying to smash your door down. You relax a little. It's just the Amazon delivery driver, but If you don't open the door right now, this Amazon parcel's going to open it for you.

image source - https://www.newsweek.com/amazon-delivery-truck-smashes-front-door-home-georgia-1569306
Seconds later, you eventually get to the door to find nobody there. Just a small parcel that would have fit through the letter box. Where did the driver go? What was so fucking urgent that they needed to alert the neighborhood to my delivery? And why didn't they just pop it through the letter box like the postman manages to do every morning?
I've pondered this for many hours and have decided that the solution is relatively simple. There are in fact 2 delivery people with each van. Person 1's responsibility is to get to the door first and ring the bell twice. They do this whilst person 2 is getting your parcel out of the van. Whilst person 1 quickly returns to the van to drive off, person 2 runs at the door as fast as they can, bouncing off it whilst dropping the parcel and getting back in the van as quickly as possible. Gone, well before your security camera's motion sensor has even triggered.
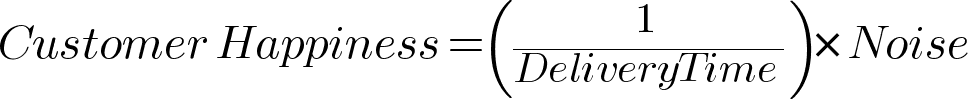
This lightning quick method allows for the optimal delivery time / customer happiness equation.
Customer Happiness tends to infinity as Delivery Time tends towards zero. Noise is irrelevant.
Simple. 😡

I am the ORIGINAL @AngryMan...
@xpilar - Please tell this prick to fuck off.