Endulzamiento del Gas Natural
Saludos estimada comunidad de #Steemit, el día de hoy aprenderemos un poco sobre el gas natural, ese que usamos de manera cotidiana a nivel doméstico en las cocinas para preparar nuestros alimentos o en métodos de calefacción. El gas natural es considerado en la actualidad como una de las fuentes más importantes de energía. Entre sus componentes se encuentran el sulfuro de hidrógeno H2S y el dióxido de carbono CO2, el proceso de endulzamiento del gas natural consiste en la eliminación de estos compuestos, los cuales además de ser altamente perjudiciales para la salud generar problemas en su manejo.
Gas NaturalEl gas natural es una combinación de hidrocarburos que se compone principalmente por metano, y en variables proporciones menores de otros hidrocarburos como etanos, propanos, butanos, pentanos y otros; además contiene impurezas como vapor de agua, sulfuro de hidrógeno, dióxido de carbono, nitrógeno, helio, entre otros. El gas natural proviene de yacimientos los cuales son estructuras geológicas que contienen espacios porosos. Algunas veces, sube a la superficie naturalmente y es producido como gas libre o no asociado, otras veces llega a la superficie con petróleo (gas asociado). La composición típica del gas natural (antes de ser refinado) se muestra en la Tabla 1.
| Componentes | Composición (%) |
|---|---|
| Metano | 70-90 |
| Etano | 0-20 |
| Propano | 0-20 |
| Butano | 0-20 |
| Dioxido de Carbono | 0-8 |
| Oxigeno | 0-0,02 |
| Nitrogeno | 0-5 |
| Sulfuro de Hifrogeno | 0-5 |
| Gases raros (Ar, He, Ne, Xe) | trazas |
El gas natural contiene contaminantes importantes a nivel de salud y medio ambiente como lo es gas natural es el sulfuro de hidrógeno, conocido como un gas ácido, por su naturaleza toxica y corrosiva, su presencia ocasiona dificultades para procesar y manejar el gas natural, ya que genera la formación de otros compuestos de azufre como disulfuro de carbono (CS2), sulfuros de carbonilo (SCO), compuesto que poseen olores bastantes desagradables, por lo cual es necesario disminuir su concentración o eliminarlo del gas natural . Además, en elevadas concentraciones es dañino para la salud y al medio ambiente pudiendo incluso ocasionar la muerte. A continuación, en la Tabla 2 se muestran los efectos sobre la salud causados por el H2S.
| Concentración de sulfuro de hidrógeno (ppm) | Efectos sobre la salud |
|---|---|
| 0,003-0,02 | Se percibe el olor |
| 50 | Conjuntivitis |
| 150 | Parálisis del nervio olfatorio |
| 150-300 | Irritación bronquial, edema pulmonar, cefaleas, vértigos y somnolencia |
| 300-700 | Edema pulmonar agudo, convulsiones y coma |
| >700 | Shock y muerte |
Una de las fuentes de energía más importantes y usadas actualmente la constituye el gas natural, junto con el petróleo o el carbón, siendo estos últimos más contaminantes para el medio ambiente por su elevada producción de dióxido de carbono, el gas natural es un recurso natural, no renovable, debido a la importancia que tiene a nivel doméstico e industrial es crucial la eliminación de gases tóxicos con H2S para su posterior uso.
El ácido sulfhídrico (H2S) es un gas con una elevada toxicidad, es inflamable y posee un olor característico de materia orgánica en descomposición. Este gas se encuentra de manera natural en el petróleo, gas natural, manantiales de aguas termales, en concentraciones muy bajas su olor es indetectable.

Este gas es altamente toxico y nocivo para la salud, tiene una toxicidad muy elevada, el contacto con este compuesto en ocasiones resulta fatal para seres humanos. Tan solo 2 ppm es perceptible olfativamente, en una concentración mayor a 25 ppm se considera una mezcla mortal para seres humanos. La exposición a bajas concentración (menor a 2 ppm) genera irritación en los ojos, nariz o garganta. El sulfuro de hidrógeno actúa a nivel de los centros metálicos de las enzimas, bloqueándolas y evitando así su adecuado funcionamiento. Adicionalmente, se ha demostrado que el ion sulfuro S2- se combina con la hemoglobina acelerando la asfixia del ser organismo.
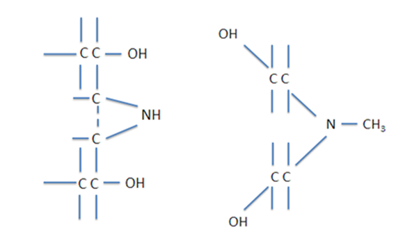
A nivel mundial la eliminación del H2S del gas natural es realizada a través de absorción química con aminas. Este proceso consiste en hacer reaccionar químicamente los gases ácidos dioxido de carbono y ácido sulfhridico (CO2, H2S) presentes en el gas natural con una mezcla absorbente a base de aminas (solvente), que genera compuestos inestables los cuales posteriormente pueden ser separados reduciendo la presión de operación y/o suministrando calor para lograr la liberación de gases y restablecer el solvente. Para este proceso pueden ser usadas varias aminas dependiendo de la composición del gas natural y de las condiciones de operación. Los solventes químicos más utilizados son: dietanolamina (DEA), trietanolamina (TEA), disopropanolamina (DIPA) y metildietanolamina (MDEA), mostrados en la imagen a continuación.

Dietanolamina (DEA), Trietanolamina (TEA)-Fuente: @rossyholg

Disopropanolamina (DIPA) y Metildietanolamina (MDEA)-Fuente: @rossyholg
Estos compuestos contienen un grupo hidroxilo y uno amino, este proceso de endulzamiento del gas con aminas consiste en que el hidroxilo reduce la presión de vapor e incrementa la solubilidad en agua, por su parte el grupo amino aporta la alcalinidad que se necesita para causar la absorción del gas ácido.
La eliminación del sulfuro de hidrógeno suele realizarse a escala industrial a través del proceso de Claus mediante la conversión del sulfuro de hidrógeno a azufre elemental. Este proceso se divide en dos etapas: inicialmente el H2S es parcialmente oxidado a SO2 con aire, y en una segunda etapa, la mezcla H2S/SO2 es oxidada a azufre elemental y agua, empleando bauxita como catalizador. La conversión de H2S a azufre elemental es del 90-95%.
Este proceso ocurre mediante las siguientes reacciones:

La eliminación de gases tóxicos del gas natural conocido como endulzamiento, es el proceso más importante al cual debe ser sometido el gas natural, ya que esto implica la remoción de gases como el sulfuro de hidrógeno y el dióxido de carbono, los cuales a elevadas concentraciones pueden generar daños severos a la salud y el medio ambiente.
Literatura Consultada
Pernía E., Urdaneta M. (2005) “Estudio comparativo de la riqueza del gas natural venezolano, simulando con la válvula Joule-Thompson”. Tesis de grado. Universidad del Zulia, Maracaibo, pp 10-12.
Nogué S., Sanz P., Vílchez D., Fernández S. (2007) “Secuelas neurológicas irreversibles causadas por una exposición al sulfuro de hidrogeno en un accidente laboral”. Revista toxicología, 24, 45-47.
Cusi R. (2006) “Eliminación del dióxido de carbono del gas natural por depuración húmeda empleando compuestos de sodio”. Tesis de maestría. Universidad Nacional San Luis Gonzaga de Ica, Perú, pp 24-26.
Este proceso de endulzamiento es importante en la cocina de los hogares, porque puede detectarse alguna fuga del gas natural. Me ha pasado aquí en casa, donde la hornilla se apaga y me doy cuenta por el olor característico del gas "endulzado".
This post has been voted on by the SteemSTEM curation team and voting trail in collaboration with @curie.
If you appreciate the work we are doing then consider voting both projects for witness by selecting stem.witness and curie!
For additional information please join us on the SteemSTEM discord and to get to know the rest of the community!
Muy importante el material que proporcionas en cierto modo es sumamente importante el endulzamiento por diversos factores, eso ayudaría a prevenir muchos accidentes domésticos
Congratulations @rossyholg! You received a personal award!
You can view your badges on your Steem Board and compare to others on the Steem Ranking
Do not miss the last post from @steemitboard:
Vote for @Steemitboard as a witness to get one more award and increased upvotes!