Backyard amateur helps make a big astronomical discovery

in #steemstem7 years ago

Astronomy is one of the few fields where amateurs can have a meaningful impact. I've never heard of an amateur nuclear physicist, but amateur astronomers regularly make significant contributions with their observations and analysis. In a recent submission to the Astrophysical Journal Letters, a team of astronomers reported their findings on the detection of a dusty disk surrounding a white dwarf. This discovery was made possible by the amateur Melina Thevenot, a member of the citizen science group Backyard Worlds: Planet 9. You can read about her discovery in her own words here

Basically, Melina was going through Gaia Data release 2 searching for brown dwarf candidates. She came across an object that was missing some information so she cross checked it against a different catalog. After doing some digging, she hypothesized it was a white dwarf with an excess amount of infrared radiation. At this point, she brought in some other volunteers to confirm her suspicions.

For some background information, white dwarfs are the stellar remains of medium sized stars like our own Sun. After the star "dies" by evolving off of the main sequence, it is still surrounded by objects in its vicinity like planets, asteroids, and comets. These objects can be torn apart by the white dwarf's tidal forces and form a dusty disk around the dwarf. Such a disk can be inferred from observations that have an excessive amount of infrared radiation. This is because light travelling through the dusty disk gets stretched out, becoming "redder".

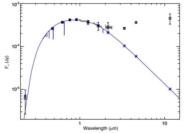
Back to the study, Melina and the other amateurs notified astronomer John Debes. Debes and his fellow researchers were able to observe the white dwarf using the Keck Telescope in Hawaii. Using the Near-Infrared Echellette Spectrometer (NIRES), the astronomers were able to confirm the dusty disk around the white dwarf (see Figure 1 below). Furthermore, they discovered that this particular white dwarf is older and cooler than expected for similar objects with dust disks. It is expected that younger, hotter white dwarfs that have recently "died" have this leftover debris while older, cooler white dwarfs would have cleared the area. This challenge to the prevailing theory affords astronomers the opportunity to rethink their models to better understand the life cycle of stars.

melina.PNG

Figure 1. Spectral Energy Distribution of the white dwarf. The blue line is the predicted model for a white dwarf without a disk. The gray squares are NIRES data that show a divergence from the model representing the excess infrared radiation caused by the surrounding dust disk. Credit: Debes et al. 2019

References

Debes, J. et al., 2019, https://arxiv.org/pdf/1902.07073.pdf

Sort:  




This post has been voted on by the SteemSTEM curation team and voting trail in collaboration with @curie.

If you appreciate the work we are doing then consider voting both projects for witness by selecting stem.witness and curie!

For additional information please join us on the SteemSTEM discord and to get to know the rest of the community!

Congratulations @ptsouth97! You have completed the following achievement on the Steem blockchain and have been rewarded with new badge(s) :

You got a First Reply
You received more than 2000 upvotes. Your next target is to reach 3000 upvotes.

Click here to view your Board
If you no longer want to receive notifications, reply to this comment with the word STOP

Support SteemitBoard's project! Vote for its witness and get one more award!

@ptsouth97, thank you for supporting @steemitboard as a witness.

Here is a small present to show our gratitude
Click on the badge to view your Board of Honor.

Once again, thanks for your support!