Probability (P1 Exam Practice) - Sample Exam Problems from theinfiniteactuary.com

Thought I would use my old saved resources to study for this test seeing that it is pretty hard. You need to know all of your calculus, a lot with the exponential function which is the easiest to know. They also expect you to know how to take integrals using integration by parts (usually calculating the integral of xe^x). Here are some useful questions I found.

The only problem with theinfiniteactuary.com is that the person that wrote out the answers to the problems was sloppy, barely an explanation, and didn't use proper notation. I will try my best to make it more understandable.

LogoP1.png

Example 1

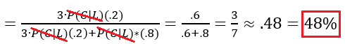
A life insurance company classifies its customers as being either high risk or low risk. If 20% of the customers are high risk, and high risk customers are three times as likely as low risk customers to file a claim, what percentage of claims that are filed come from high risk customers?

First, ask what they gave us. See that it says high risk customers are three times as likely as low risk customers to file a claim, so we have...

We also have an equation that we can manipulate, or prove what we have is useful.

Now, we can solve the equation because we have everything and some stuff cancels out.

Capture.PNG

Example 2

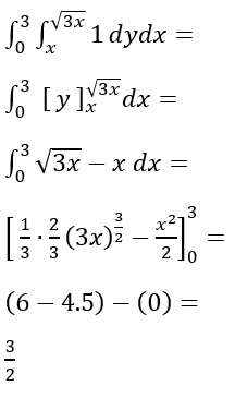
Suppose we have (X,Y) is uniformly chosen from the set given by . Find the marginal density function of Y.

It has been made especially clear to me that you need to graph (by hand) all of the boundaries they give you. Since it is uniform we can find a height (or density) to our graph by finding the area in the bounded region.

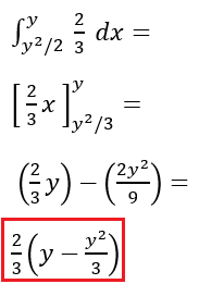
Take the integral of the top curve minus the bottom like this:

This means our density is 2/3. The question says to find the marginal density function of Y. So, we throw out the x integral and change the bounds of the y integral using the equation . The integral becomes...

2.PNG

Example 3

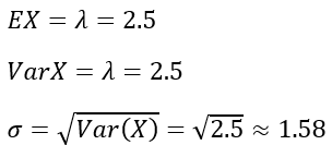
If X is a Poisson random variable with P[X = 1] = 2.5P[X = 0], then what is the probability that X will be within 1 standard deviation of EX?

First, know that Poisson Distribution functions can be set equal to find lambda .

By some of the rules you memorize (or can prove), we know

Since Poisson is discrete we only look at the integers in the range given. Plug in and calculate for the answer.

5.PNG


BreakLine.png

Educational Archives

Option Volatility and Pricing

1, 2, 3, 4, 5, 6, 7-1, 7-2, 7-3

Actuarial Mathematics

1, 2, 3, 4, 5, 6, 7, 8

Physics

Motion in 2-Dimensions, Kinematics, Kinematics Quiz & Solutions, Forces in 1-Dimension, Forces in 2 - Dimensions, Forces 1 & 2 Dimensions, Kinematics & Forces Review, Kinematics & Forces Quiz & Solutions, Kinematics & Energy Quiz & Solutions, Momentum, Circular Motion, Circular Motion & Gravity, Midterm Exam, Midterm Solutions

SAT Math

Asymptotes, Composite Functions, Contest 1 - Area, Contest 1 – Winners and Solution, PEMDAS, Systems of Equations, Functions, Exponents, Contest 2 - More Functions, Contest 2 – Winners and Solution, Percents, The Interest Equation, All About Division, Contest 3 - Factoring, Contest 3 – Winners and Solution, Fractional and Negative Exponents, Basic Trig, Contest 4 - Math Vocab, Trig 3, Contest 5 – Winners and Solution, Contest 6, Contest 6 – Winners and Solution, Functions, The Unit Circle, Compound Inequalities, Composite Functions

Puzzles

1, 2

BreakLine.png


Thanks for stopping by! Best Wishes & Learn Much!

LogoSEDU.gif

LogoBeatles.gif


BreakLine.png

Sort:  

Ugh math good thing I don’t have to take it this year

This is quite a bit harder that your math class last year. Haha.

Yep that’s true

Have you tried weku yet