Probability (P1 Exam Parctice) - More Sample Problems
The problems I am pulling are coming from theinfiniteactuary.com, but with a far better explanation. The site provides very valuable resources, including lessons and 7 sample exams that I downloaded back when I had the account. I am sharing 3 problems from each test (30 problems per test like usual).

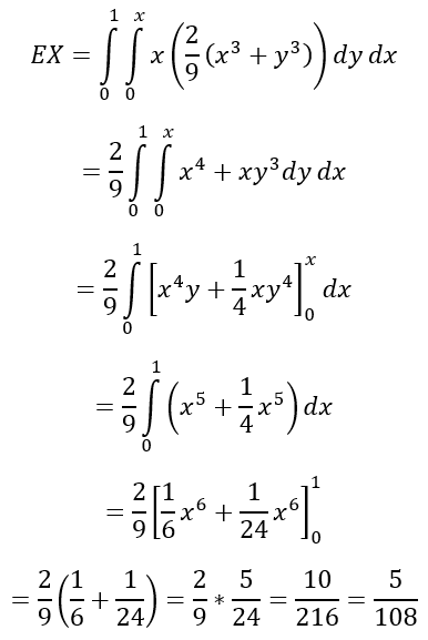
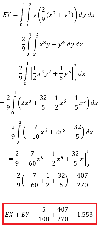
Example 1
The joint density of X and Y is

Find E[max(X,Y)].
To do this we need to graph our bounds and plot y=x for our other bounds. We get this (geogebra.com):

We then look at if the max is X or if the max is Y and add them together. So we use two sets of bounds and the formulas for EX + EY. The author usually integrates in the order of dydx, so I will do the same to stay consistent.


Example 2
An insurance policy reimburses a loss up to a benefit limit of 20. If the distribution of a loss is exponential with mean 30, what is the expected value of the benefit paid under the policy?
Given the mean of 30 we have a distribution function and just need to integrate from 0 to 20.
Another way to do the same problem given by the author:

Example 3
When I am sick, I like to count the buses that pass my house. I have noticed that the number of buses that pass can be modeled quite well by a Poisson random variable with mean 8 per hour from 8 until 10 am, and by a Poisson random variable with mean 5 per hour from 10 am until 2 pm. If exactly 5 buses drive past my house from 9:30-10:30 one morning, what is the probability that exactly 11 buses drove past from 9 to 11?
All we need to do is set up a Poisson distribution so that 6 buses pass by the house from 9-9:30 AM and 10:30-11 AM. This is not too bad since we have times and number of buses that should pass.
In the 30 minutes from 9-9:30 we have:

In the 30 minutes from 10:30 to 11 we have:

Educational Archives
Option Volatility and Pricing
1, 2, 3, 4, 5, 6, 7-1, 7-2, 7-3
Actuarial Mathematics
Physics
Motion in 2-Dimensions, Kinematics, Kinematics Quiz & Solutions, Forces in 1-Dimension, Forces in 2 - Dimensions, Forces 1 & 2 Dimensions, Kinematics & Forces Review, Kinematics & Forces Quiz & Solutions, Kinematics & Energy Quiz & Solutions, Momentum, Circular Motion, Circular Motion & Gravity, Midterm Exam, Midterm Solutions
SAT Math
Asymptotes, Composite Functions, Contest 1 - Area, Contest 1 – Winners and Solution, PEMDAS, Systems of Equations, Functions, Exponents, Contest 2 - More Functions, Contest 2 – Winners and Solution, Percents, The Interest Equation, All About Division, Contest 3 - Factoring, Contest 3 – Winners and Solution, Fractional and Negative Exponents, Basic Trig, Contest 4 - Math Vocab, Trig 3, Contest 5 – Winners and Solution, Contest 6, Contest 6 – Winners and Solution, Functions, The Unit Circle, Compound Inequalities, Composite Functions
Puzzles
1, 2, 3, < a href=" https://steemit.com/steemiteducation/@hansenatortravel/friday-crossword-4">4



